我校美术学院2023年校考专业复试的阅卷评分工作已结束,各专业类分别以招生计划1:3.5的比例划定了合格名单,末位同分者同时进入合格名单,同分考生的位次以同分第一名考生的序号为准,合格名单请点击本页底部专业名称查询。即日起,考生可以登录“艺术升”APP或者“艺术升”网页版(http://www.artstudent.cn/)进行成绩查询。
查询办法:
1.打开艺术升APP,输入本人报名时注册的账号和密码,登陆后点击进入“报考”页面,点击“成绩查询”进行查询。
2.登陆艺术升网页版,输入本人报名时注册的账号和密码,登陆后选择“成绩/志愿/录取”,选择“专业成绩/结论”—“中央民族大学”进行查询,合格考生可在此打印合格证。
中央民族大学招生办公室
2023年3月30日

2023年合格情况
中央民族大学2023年美术学类、设计学类分别以招生计划1:3.5的比例划定合格名单。
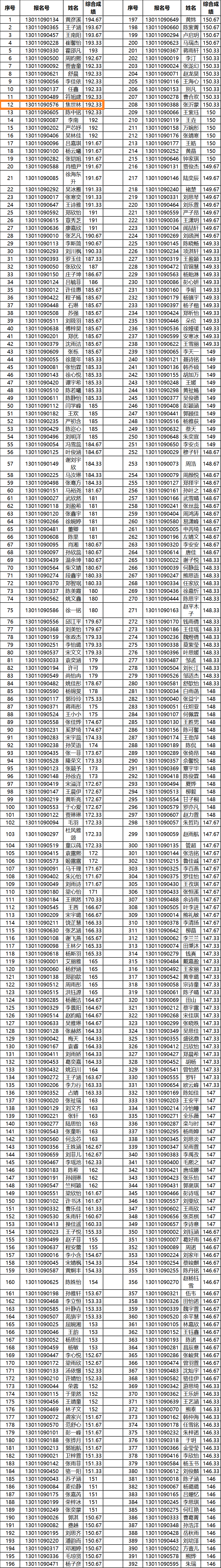
美术学类:招生计划70人【含绘画(油画)25人,中国画20人,美术学25人】,合格人数251,最高分195.667,合格线156.667。
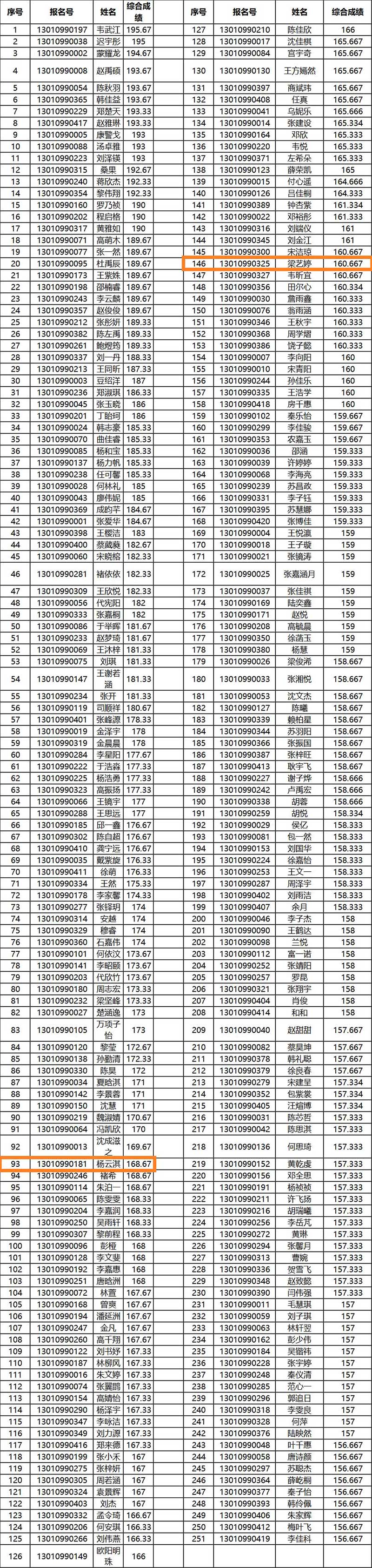
设计学类:招生计划110人【含视觉传达设计(含影像设计)50人、服装与服饰设计25人、环境设计35人】,合格人数392,最高分194.666,合格线146。

2023年报考指南
中央民族大学美术学类、设计学类专业对文化要求是最低的,只需要达到各省艺术类本科文化控制线即可。
录取的关键在于校考专业课成绩排名,美术学类校考专业课成绩排名在120名左右,设计学类校考专业课成绩排名160名左右,录取的把握就很大了。

2023年合格考生名单
注:标注部分为郑州画室笑笑美术兵团小兵
美术学类

设计学类

(图片来源于网络,侵删)


